產品中心
相關產品
中藥標準品
|
產品編號 |
英文名稱 |
CAS號 |
包裝 |
|
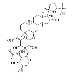
Y3668 |
Astragaloside II |
84676-89-1 |
可根據客戶要求訂制 |
英文名稱:Astragaloside II
CAS號:84676-89-1
分析標準品,≥98%
分子式 C43H70O15 分子量827.02

基本信息:
密度 1.38
描述
別名 黃芪皂苷 II ;(3b,6a,16b,20R,24S)-3-((2-O-Acetyl-beta-D-xylopyranosyl)oxy)-20,24-epoxy-16,25-dihydroxy-9,19-cyclolanostan-6-yl beta-D-glucopyranoside
