產品中心
相關產品
中藥標準品
|
產品編號 |
英文名稱 |
CAS號 |
包裝 |
|
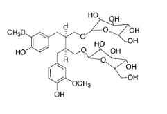
Y3918 |
Secoisolariciresinol Diglucoside |
148244-82-0 |
可根據客戶要求訂制 |
英文名稱:Secoisolariciresinol Diglucoside
CAS號:148244-82-0
分析標準品,≥98%
分子式 C32H46O16 分子量686.71

基本信息:
存貯條件 儲存溫度2-8℃
描述
別名 亞麻木脂素; 亞麻籽提取物; 開環異落葉松酚二葡萄糖苷; 2,3-雙(3-甲氧基-4-羥基芐基)丁烷-1,4-二醇;1,4-二葡萄糖甙;SDG
生化機理 亞麻木酚素是一種植物化學物質,存在于亞麻籽,葵花籽,芝麻,南瓜子。它是哺乳動物木酚素的前體,一種植物雌激素。 亞麻木酚素已經顯示出具有抗氧化和保護心臟的。
描述
別名 亞麻木脂素; 亞麻籽提取物; 開環異落葉松酚二葡萄糖苷; 2,3-雙(3-甲氧基-4-羥基芐基)丁烷-1,4-二醇;1,4-二葡萄糖甙;SDG
生化機理 亞麻木酚素是一種植物化學物質,存在于亞麻籽,葵花籽,芝麻,南瓜子。它是哺乳動物木酚素的前體,一種植物雌激素。 亞麻木酚素已經顯示出具有抗氧化和保護心臟的。
