產品中心
農業和環境標準品
|
產品編號 |
英文名稱 |
CAS號 |
包裝 |
|
Y0272 |
Chlorhexidine |
55-56-1 |
可根據客戶要求訂制 |
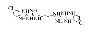
產品編號:Y0272
英文名稱:Chlorhexidine
CAS號 55-56-1
分析標準品,99.5%
分子式 [-(CH2)3NHC(=NH)NHC(=NH)NHC6H4Cl]2 分子量505.45
基本信息:
熔點 134-136°C
描述
別名 氯己定 ;洗必泰; 1,1'-己基雙[5-(對氯苯基)雙胍] ;1,1′-Hexamethylenebis[5-(4-chlorophenyl)biguanide] Bis(5-(p-chlorophenyl)biguanidinio)hexane; Hexamethylenebis(5-(4-chlorophenyl)biguanide); N,N'-Bis(4-chlorophenyl)-3,12-diimino-tetraazatetradecanediimidamide
