產品中心
相關產品
中藥標準品
|
產品編號 |
英文名稱 |
CAS號 |
包裝 |
|
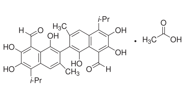
Y3596 |
Gossypol-acetic acid |
|
可根據客戶要求訂制 |
英文名稱:Gossypol-acetic acid
CAS號:12542-36-8
分析標準品,98%
分子式 C30H30O8 C2H4O2 分子量578.61

基本信息:
熔點 184-188°C
存貯條件 儲存溫度 -20°C
描述
別名 醋酸棉酚;1,1',6,6',7,7'-Hexahydroxy-3,3'-dimethyl-5,5'-bis(1-methylethyl)[2,2'-binaphthalene]-8,8'-dicarboxaldehyde-acetic acid
應用 抑制胃蛋白酶原(pepsinogen)向胃蛋白酶(pepsin)的轉化
