產品中心
相關產品
中藥標準品
|
產品編號 |
英文名稱 |
CAS號 |
包裝 |
|
Y3588 |
Ammothamnine |
16837-52-8 |
可根據客戶要求訂制 |
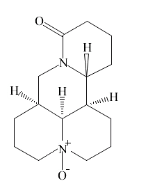
英文名稱:Ammothamnine
CAS號:16837-52-8
分析標準品
分子式 C15H24N2O2 分子量264.36

基本信息:
密度 1.399
存貯條件 儲存溫度2-8℃
描述
別名 氧化苦參堿 ;苦參素;Oxymatrine
應用 從苦參中分離的生物堿。 抗纖維化。保護神經。
