產品中心
相關產品
中藥標準品
|
產品編號 |
英文名稱 |
CAS號 |
包裝 |
|
Y3775 |
Pseudoginsenoside- F11 |
69884-00-0 |
可根據客戶要求訂制 |
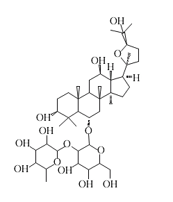
英文名稱:Pseudoginsenoside- F11
CAS號:69884-00-0
分析標準品,≥98%
分子式 C42H72O14 分子量801.01

基本信息:
敏感性 對空氣和光線敏感
密度1.33
存貯條件 儲存溫度2-8 °C
描述
別名 擬人參皂苷F11;
密度1.33
存貯條件 儲存溫度2-8 °C
描述
別名 擬人參皂苷F11;
- 上一條:β-五沒食子酰葡萄糖
- 下一條:原人參三醇
