產品中心
相關產品
中藥標準品
|
產品編號 |
英文名稱 |
CAS號 |
包裝 |
|
Y3776 |
Protopanaxatriol |
1453-93-6 |
可根據客戶要求訂制 |
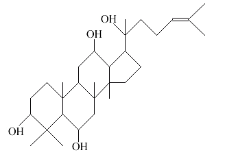
英文名稱:Protopanaxatriol
CAS號:1453-93-6
分析標準品,≥95.0% (HPLC)
分子式 C30H52O4 分子量476.73

基本信息:
描述
別名 ;(3β,6α,12β,20R)-Dammar-24-ene-3,6,12,20-tetrol, 20(R)-Protopanaxatriol
