產品中心
相關產品
中藥標準品
|
產品編號 |
英文名稱 |
CAS號 |
包裝 |
|
Y3752 |
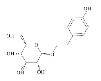
Salidroside |
10338-51-9 |
可根據客戶要求訂制 |
英文名稱:Salidroside
CAS號:10338-51-9
分析標準品,≥98%(HPLC)
分子式 C14H20O7 分子量300.31

基本信息:
密度1.46
描述
產品介紹 Natural product derived from plant source.
別名 紅景天苷 ;紅景天甙;Rhodioloside
生化機理 Salidroside, the 8-O-β-D-glucoside of tyrosol, is the main bioactive component of Rhodiola species and is found mainly in the plant roots. It is biosynthesised in the tyrosine metabolism, with glucosylation of tyrosol being the final step. It has been reported to be neuroprotective and one of the compounds responsible for the antidepressant and anxiolytic actions of Rhodiola rosea.
應用 草藥產品分析的標準品。
描述
產品介紹 Natural product derived from plant source.
別名 紅景天苷 ;紅景天甙;Rhodioloside
生化機理 Salidroside, the 8-O-β-D-glucoside of tyrosol, is the main bioactive component of Rhodiola species and is found mainly in the plant roots. It is biosynthesised in the tyrosine metabolism, with glucosylation of tyrosol being the final step. It has been reported to be neuroprotective and one of the compounds responsible for the antidepressant and anxiolytic actions of Rhodiola rosea.
應用 草藥產品分析的標準品。
